如图所示对称三相电路中,相电压是200V,Z=100+j100Ω,功率表W1的读数为( )。A.100∠WB.200∠WC.300∠WD....

作者: rantiku 人气: - 评论: 0
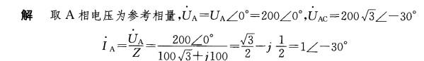
问题 如图所示对称三相电路中,相电压是200V,Z=100+j100Ω,功率表W1的读数为( )。
选项 A.100∠W B.200∠W C.300∠W D.400∠W
答案 B
解析 答案:B
发表评论
更多 网友评论0 条评论)
暂无评论

Copyright © 2012-2014 恰考网 Inc. 保留所有权利。 Powered by tikuer.com

页面耗时0.0512秒, 内存占用1.02 MB, Cache:redis,访问数据库20次