在R =6kΩ,L=8H,C=2μF三个元件串联的电路中,电路的暂态属于下列哪种类似?(A)振荡 (B)不能确定(C)临界振荡 (D)非振荡

作者: rantiku 人气: - 评论: 0
问题 在R =6kΩ,L=8H,C=2μF三个元件串联的电路中,电路的暂态属于下列哪种类似? (A)振荡 (B)不能确定 (C)临界振荡 (D)非振荡
选项
答案 D
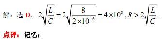
解析

猜你喜欢

发表评论
更多 网友评论0 条评论)
暂无评论

Copyright © 2012-2014 恰考网 Inc. 保留所有权利。 Powered by tikuer.com

页面耗时0.0384秒, 内存占用1.02 MB, Cache:redis,访问数据库19次