某变电所有2台变压器并联运行,每台变压器的额定容量为31.5MVA,短路损耗Pk=148kW,短路电压百分比Uk%=10.5,空载损耗P0=40kW,空载...

作者: rantiku 人气: - 评论: 0
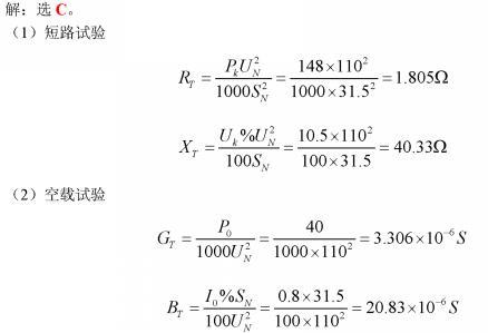
问题 某变电所有2台变压器并联运行,每台变压器的额定容量为31.5MVA,短路损耗Pk=148kW,短路电压百分比Uk%=10.5,空载损耗P0=40kW,空载电流I0%=0.8。 变压器运行在额定电压下,变比为110/11kK,两台变压器流过的总功率为40+j30MVA,则两台变压器的总功率损耗为; (A) 0.093 + j2.336MVA (B) 0.372 + j9.342MVA (C) 0.186 + j4.671MV
选项 A (D) 0.268 + j4.167MVA
答案 C
解析
  • 上一篇:
  • 下一篇:

猜你喜欢

发表评论
更多 网友评论0 条评论)
暂无评论

Copyright © 2012-2014 恰考网 Inc. 保留所有权利。 Powered by tikuer.com

页面耗时0.0423秒, 内存占用1.03 MB, Cache:redis,访问数据库19次