图示电路中U= 10V,电阻均为100Ω,则电路中的电流I应为下列哪项数值?()A.(1/14)B.(1/7)C. 14D. 7

作者: rantiku 人气: - 评论: 0
问题 图示电路中U= 10V,电阻均为100Ω,则电路中的电流I应为下列哪项数值?()
选项 A.(1/14) B.(1/7) C. 14 D. 7
答案 A
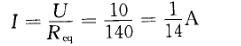
解析 解:由对称电路可知: Rcq=2(100//100) + [(100//100)//(50 + 100 + 50)] =140Ω
发表评论
更多 网友评论0 条评论)
暂无评论

Copyright © 2012-2014 恰考网 Inc. 保留所有权利。 Powered by tikuer.com

页面耗时0.0347秒, 内存占用1.01 MB, Cache:redis,访问数据库17次