图示二相对称三线制电路中线电压为380V,且各负载Z = 44Ω,则功率表的读数应为下列哪项数值?( )A. 0WB. 2200WC. 660...

作者: rantiku 人气: - 评论: 0
问题 图示二相对称三线制电路中线电压为380V,且各负载Z = 44Ω,则功率表的读数应为下列哪项数值?( )
选项 A. 0W B. 2200W C. 6600W D. 4400W
答案 A
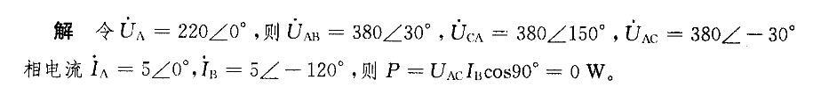
解析

猜你喜欢

发表评论
更多 网友评论0 条评论)
暂无评论

Copyright © 2012-2014 恰考网 Inc. 保留所有权利。 Powered by tikuer.com

页面耗时0.0397秒, 内存占用1.02 MB, Cache:redis,访问数据库20次