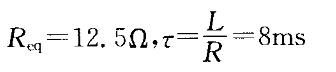
图示电路的时间常数τ应为下列哪项数值?( )A. 16msB. 4msC. 2msD. 8ms

作者: rantiku 人气: - 评论: 0
问题 图示电路的时间常数τ应为下列哪项数值?( )
选项 A. 16ms B. 4ms C. 2ms D. 8ms
答案 D
解析 解:将其等效为戴维南电路,则

猜你喜欢

发表评论
更多 网友评论0 条评论)
暂无评论

Copyright © 2012-2014 恰考网 Inc. 保留所有权利。 Powered by tikuer.com

页面耗时0.0906秒, 内存占用1.02 MB, Cache:redis,访问数据库20次