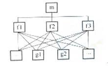
右图所示的职能组织结构中,m、f1.f2.f3.g1、g2等分别代表不同的工作部门或主管人员。这个组织结构表明()。 A.m可以直接指挥g1和g2 ...

作者: rantiku 人气: - 评论: 0
问题 右图所示的职能组织结构中,m、f1.f2.f3.g1、g2等分别代表不同的工作部门或主管人员。这个组织结构表明()。
选项 A.m可以直接指挥g1和g2 B.g2只接受f2下达的指令 C.g1可直接接受m的指令 D.g1接受f1、f2和f3的直接指挥
答案 D
解析 新版教材P14故选Dm必须经过f1、f2、f3才能指挥g1和g2,所以A不正确g1、g2可以接受f1、f2、f3的指令,所以BC不正确

猜你喜欢

发表评论
更多 网友评论0 条评论)
暂无评论

访问排行

Copyright © 2012-2014 恰考网 Inc. 保留所有权利。 Powered by tikuer.com

页面耗时0.0353秒, 内存占用1.03 MB, Cache:redis,访问数据库19次