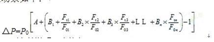
价格调整公式为下图,下列有关说明正确的有(  )。 A.ΔP代表需调整的价格差额 B.B1、B2……Bn代表各可调因子的权重 C.A代表不调价...

作者: rantiku 人气: - 评论: 0
问题 价格调整公式为下图,下列有关说明正确的有(  )。
选项 A.ΔP代表需调整的价格差额 B.B1、B2……Bn代表各可调因子的权重 C.A代表不调价部分的权重 D.F01、F02……F0n代表可调因子的现行价格指数 E.Ft1、Ft2……Ftn代表各可调因子的基本价格指数
答案 ABC
解析 新版教材P85,Ft1、Ft2……Ftn代表各可调因子的现行价格指数,F01、F02……F0n代表各可调因子的基本价格指数,故选择A、B、C。

猜你喜欢

发表评论
更多 网友评论0 条评论)
暂无评论

访问排行

Copyright © 2012-2014 恰考网 Inc. 保留所有权利。 Powered by tikuer.com

页面耗时0.0354秒, 内存占用1.03 MB, Cache:redis,访问数据库18次