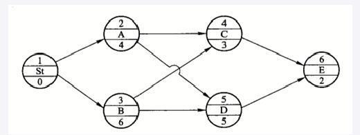
某工程单代号网络图如下所示,属于关键工作的工序为( )。 A.工作A B.工作B C.工作C D.工作D E.工作E

作者: rantiku 人气: - 评论: 0
问题 某工程单代号网络图如下所示,属于关键工作的工序为( )。
选项 A.工作A B.工作B C.工作C D.工作D E.工作E
答案 BDE
解析 因为单代号网络图关键线路为1—3—5—6,工期为0+6+5+2=13。关键线路上的工作即为关键工作,工作B、D、E为关键工作。故选正确答案B、D、E。

猜你喜欢

发表评论
更多 网友评论0 条评论)
暂无评论

访问排行

Copyright © 2012-2014 恰考网 Inc. 保留所有权利。 Powered by tikuer.com

页面耗时0.0358秒, 内存占用1.03 MB, Cache:redis,访问数据库20次