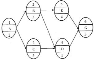
某工程的单代号网络计划如下图所示(时间单位:天),该计划的计算工期为()天。A:9B:11C:12D:15

作者: rantiku 人气: - 评论: 0
问题 某工程的单代号网络计划如下图所示(时间单位:天),该计划的计算工期为()天。
选项 A:9 B:11 C:12 D:15
答案 C
解析 找出所有线路中时间最长的一条线路,此线路为关键线路,其总时间即为总工期。本题中的关键线路是A—B—E—G,工期是2+3+4+3=12(天)。

猜你喜欢

发表评论
更多 网友评论0 条评论)
暂无评论

访问排行

Copyright © 2012-2014 恰考网 Inc. 保留所有权利。 Powered by tikuer.com

页面耗时0.0380秒, 内存占用1.03 MB, Cache:redis,访问数据库18次