某桥梁工程施工前,施工单位了解了工程地点的地形、工程地质、水文地质和水文条件,掌握了地基土壤种类及其物理力学性质、各层土的厚度及标志、周围地区地下水位和地...

作者: rantiku 人气: - 评论: 0
问题 某桥梁工程施工前,施工单位了解了工程地点的地形、工程地质、水文地质和水文条件,掌握了地基土壤种类及其物理力学性质、各层土的厚度及标志、周围地区地下水位和地面排水情况,并办理了设计提供的控制桩的交接手续。 在施工过程中为了赶进度,项目经理决定采用流水作业,A、B、C三个施工过程的流水节拍如下图所示: 某桥梁工程施工前,施工单位了解了工程地点的地形、工程地质、水文地质和水文条件,掌握了地基土壤种类及其物理力学性质、各层土的厚度及标志、周围地区地下水位和地面排水情况,并办理了设计提供的控制桩的交接手续。 在施工过程中为了赶进度,项目经理决定采用流水作业,
选项 A、B、C三个施工过程的流水节拍如下图所示:
答案
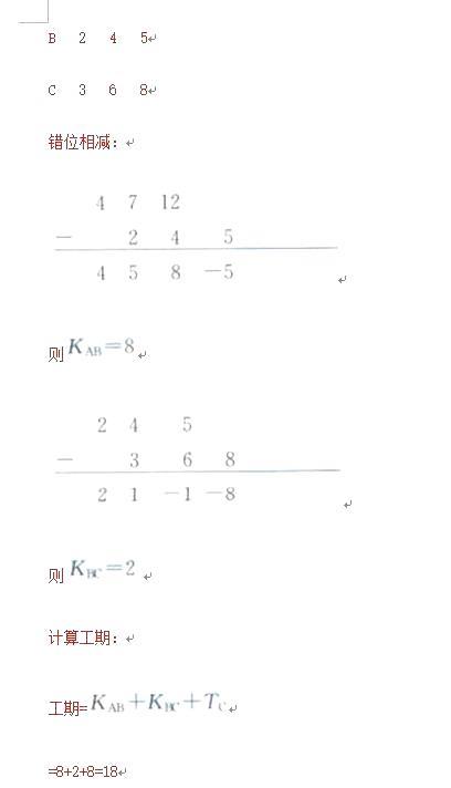
解析 1.工程开工前,在业主(或监理)主持下,由设计单位向施工单位进行交桩。交桩应在现场进行。设计单位将路线勘测时所设置的导线控制点、水准控制点及其他重要点位的桩位及相关技术资料逐一交给施工单位。 2.(1)计算流水步距 累加数列: A 4 7 12 (2)流水施工横道图如下: 3.施工单位租赁的架桥机经监理工程师验收合格后投入使用是错误的。 施工单位在工程中使用施工起重机械和整体提升式脚手架、滑模爬模、架桥机等自行式架设设施前,应当组织有关单位进行验收,或者委托具有相应资质的检验检测机构进行验收。使用承租的机械设备和施工机具及配件的,由承租单位、出租单位和安装单位共同进行验收,验收合格的方可使用。 4.项目法人对设计变更进行了审查错误,较大设计变更由省级交通主管部门负责审批。 1.此题考查办理交接桩手续的流程。工程开工前,在业主(或监理)主持下,由设计单位向施工单位进行交桩。交桩应在现场进行。设计单位将路线勘测时所设置的导线控制点、水准控制点及其他重要点位的桩位及相关技术资料逐一交给施工单位。 本题考查办理交接桩手续的流程,属于重要考点。建议考生掌握其他的一些工作流程,比如索赔程序、设计变更程序等。 2.(1)计算流水步距 这是考察无节奏流水施工的知识点。工期T=∑k+∑t+(k为流水步距,采用“累计数列错位相减取大差法”计算;t为最后一个施工过程在某一个施工段上的流水节拍, 为间歇时间,本题为0),分别将题中数据带入公式即可得到结果。 此题考察无节奏流水施工工期计算,属于重要考点,建议考生牢记计算公式。 (2)流水施工横道图 这是考察无节奏流水施工横道图的知识点。按照绘制横道图的方法进行绘制,注意相邻两项工作之间的流水步距。 此题考察无节奏流水施工横道图的绘制,属于较难考点,建议考生重点掌握。 3.此题考查承租的机械设备验收。施工单位在工程中使用施工起重机械和整体提升式脚手架、滑模爬模、架桥机等自行式架设设施前,应当组织有关单位进行验收,或者委托具有相应资质的检验检测机构进行验收。使用承租的机械设备和施工机具及配件的,由承租单位、出租单位和安装单位共同进行验收,验收合格的方可使用。 这是承租的机械设备验收程序的考点,属于重要考点,考生要熟悉这些工作程序。 4.此题考查较大设计变更的审批。公路工程设计变更分为重大设计变更、较大设计变更和一般设计变更。项目法人负责对一般设计变更进行审查;重大设计变更由交通部负责审批;较大设计变更由省级交通主管部门负责审批。 这是考查设计变更审批的考点,属于重要考点,考生要掌握设计变更的审批程序。

猜你喜欢

发表评论
更多 网友评论0 条评论)
暂无评论

访问排行

Copyright © 2012-2014 恰考网 Inc. 保留所有权利。 Powered by tikuer.com

页面耗时0.0526秒, 内存占用1.03 MB, Cache:redis,访问数据库14次