以下关于杆件性质的说法正确的有( )。A、 杆件的强度越大,则刚度越大 B、 刚度是指杆件在外力作用下抵抗变形的能力 C、 提高杆件材料的强度能提...

作者: rantiku 人气: - 评论: 0
问题 以下关于杆件性质的说法正确的有( )。
选项 A、 杆件的强度越大,则刚度越大 B、 刚度是指杆件在外力作用下抵抗变形的能力 C、 提高杆件材料的强度能提高杆件承载力 D、 压杆材料的强度越大,则其临界力越大 E、 压杆的临界力与作用荷载的大小无关
答案 BCE
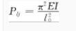
解析 刚度是指杆件在外力作用下抵抗变形的能力, 只与杆件的弹性模量和几何尺寸有关,与杆件材料强度无关; 杆件承载力与杆件材料的强度成正比;临界力的公式为 临界力与杆件材料强度无关,也与作用荷载的大小无关。 故本题答案为“B、C、E”。

猜你喜欢

发表评论
更多 网友评论0 条评论)
暂无评论

Copyright © 2012-2014 恰考网 Inc. 保留所有权利。 Powered by tikuer.com

页面耗时0.0359秒, 内存占用1.03 MB, Cache:redis,访问数据库18次