【背景资料】某拟建工程由甲、乙、丙三个施工过程组成;该工程共划分成四个施工流水段, 每个施工过程在各个施工流水段上的流水节拍如下表所示。按相关规范规定...

作者: rantiku 人气: - 评论: 0
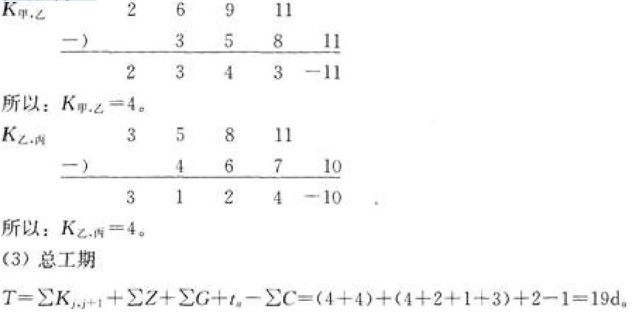
问题 【背景资料】某拟建工程由甲、乙、丙三个施工过程组成;该工程共划分成四个施工流水段, 每个施工过程在各个施工流水段上的流水节拍如下表所示。按相关规范规定, 施工过程乙完成后其相应施工段至少要养护2d才能进入下道工序。为了尽早完工, 经过技术攻关,实现了施工过程乙在施工过程甲完成之前1d提前进入施工。 问题: 1.流水施工的常用组织形式有哪些。 2.该工程应采用何种流水施工组织形式。 3.计算各施工过程间的流水步距和总工期。 4.试编制该工程流水施工计划图。
选项
答案
解析 1.流水施工的常用组织形式有: (1)等节奏流水施工; (2)异节奏流水施工; (3)无节奏流水施工。 2.根据工程特点,该工程只能组织无节奏流水施工。 3.求各施工过程之间的流水步距: (1)各施工过程流水节拍的累加数列 甲:26911 乙:35811 丙:4671O (2)错位相减,取最大值的流水步距 值的流水步距 4.流水施工计划图如下所示:

猜你喜欢

发表评论
更多 网友评论0 条评论)
暂无评论

Copyright © 2012-2014 恰考网 Inc. 保留所有权利。 Powered by tikuer.com

页面耗时0.0421秒, 内存占用1.03 MB, Cache:redis,访问数据库20次