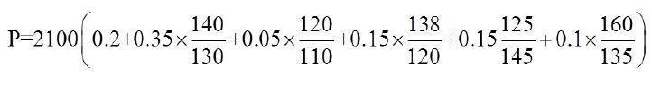
背景材料:某施工单位通过公开招标中标某工程,与业主签订的承包合同部分内容有:工程合 同总价2100 万元,工程价款采用调值公式动态结算,价格指数如下,...

作者: rantiku 人气: - 评论: 0
问题 背景材料:某施工单位通过公开招标中标某工程,与业主签订的承包合同部分内容有:工程合 同总价2100 万元,工程价款采用调值公式动态结算,价格指数如下,列出动态结算公式,并计算该 工程调价后的实际结算价。
选项
答案
解析

猜你喜欢

发表评论
更多 网友评论0 条评论)
暂无评论

Copyright © 2012-2014 恰考网 Inc. 保留所有权利。 Powered by tikuer.com

页面耗时0.0356秒, 内存占用1.03 MB, Cache:redis,访问数据库17次