背景某公司中标一栋24层住宅楼,甲乙双方根据《建设工程施工合同(示范文本)》(GF—1 999—0201)签订施工承包合同。项目实施过程中发生如下事件...

作者: rantiku 人气: - 评论: 0
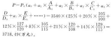
问题 背景 某公司中标一栋24层住宅楼,甲乙双方根据《建设工程施工合同(示范文本)》(GF—1 999—0201)签订施工承包合同。项目实施过程中发生如下事件:事件一:公司委派另一处于后期收尾阶段项目的项目经理兼任该项目的项目经理。由于项目经理较忙,责成项目总工程师组织编制该项目的《项目管理实施规划》。项目总工程师认为该项目《施工组织设计》编制详细、完善,满足指导现场施工的要求,可以直接用《施工组织设计》代替《项目管理实施规划》,不需要再单独编制。事件二:开工后不久,由于建设单位需求调整,造成工程设计重大修改,施工单位及时对原施工组织设计进行修改和补充,并重新报审后按此组织施工。事件三:施工过程中,总监理工程师要求对已隐蔽的某部位重新剥离检查,施工单位认为已通过隐蔽验收,不同意再次检查。经建设单位协调后剥离检查,发现施工质量存在问题。施工单位予以修复,并向建设单位提出因此次剥离检查及修复所导致的工期索赔和费用索赔。事件四:本工程合同价款为3 5 4 0万元,施工承包合同中约定可针对人工费、材料费价格变化对竣工结算价进行调整。可调整各部分费用占总价款的百分比,基准期、竣工当期价格指数见下表: 问题: 1.指出事件一中不妥之处,并分别说明理由。 2.除事件二中设计重大修改外,还有哪些情况也会引起施工组织设计需要修改或补充?(至少列出三项) 3.事件三中,施工单位不同意剥离检查是否合理?为什么?分别判断施工单位提出的工期索赔和费用索赔是否成立?并分别说明理由。 4.列式计算人工费、材料费调整后的竣工结算价款是多少万元?(保留两位小数)
选项
答案
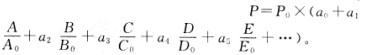
解析 1.(1)不妥之处:公司委派另一处于后期收尾阶段项目的项目经理兼任该项目的项目经理。理由:根据《建设工程项目管理规范》(GB/T50326)的有关规定,项目经理不应同时承担两个或两个以上未完项目领导岗位的工作。(2)不妥之处:项目总工程师组织编制该项目的《项目管理实施规划》。理由:根据《建设工程项目管理规范》(GB/T50326)的有关规定,项目管理实施规划应由项目经理组织编制。 2.项目施工过程中,除设计重大修改,还会引起施工组织设计修改或补充的情况有:有关法律、法规、规范和标准实施、修订和废止;主要施工方法有重大调整;主要施工资源配置有重大调整;施工环境有重大改变。 3.(1)施工单位不同意剥离检查不合理。根据《建设工程施工合同(示范文本)》第十八条规定,无论工程师是否进行验收,当其要求对已隐蔽的工程重新检验时,承包人应按要求进行剥离或开孔,并在检验后重新覆盖或修复。(2)施工单位提出的工期索赔和费用索赔均不成立。检验合格,发包人承担由此发生的全部追加合同价款,赔偿承包人损失,并相应顺延工期。检验不合格,承包人承担发生的全部费用,工期不予顺延。由于本工程经重新检验不合格。故施工单位提出的工期索赔和费用索赔均不成立。 4.调整后的竣工结算价款: 解题思路:本案例第1问主要考查项目管理组织。项目经理不应同时承担两个或两个以上未完项目领导岗位的工作。故公司委派另一处于后期收尾阶段项目的项目经理兼任该项目的项目经理不妥。项目管理规划作为项目管理工作的纲领性文件,应对项目管理的目标、依据、内容、组织、资源、方法、程序和控制措施进行确定。项目管理规划应包括项目管理规划大纲和项目管理实施规划两类文件。项目管理规划大纲是项目管理工作中具有战略性、全面性和宏观性的指导文件,应由组织的管理层或组织委托的项目管理单位编制。项目管理实施规划应对项目管理规划大纲进行细化,使其具有可操作性。项目管理实施规划应由项目经理组织编制。故项目总工程师组织编制该项目的《项目管理实施规划》不要。本案例第2问主要考查施工组织设计的动态管理。项目施工过程中,如发生以下情况之一时,施工组织设计应及时进行修改或补充:(1)工程设计有重大修改;(2)有关法律、法规、规范和标准实施、修订和废止;(3)主要施工方法有重大调整;(4)主要施工资源配置有重大调整;(5)施工环境有重大改变。经修改或补充的施工组织设计应重新审批后才能实施。本案例第3问主要考查工程隐蔽部位覆盖的重新检查。根据《建设工程施工合同(示范文本)》第十八条规定,无论工程师是否进行验收,当其要求对已隐蔽的工程重新检验时,承包人应按要求进行剥离或开孔,并在检验后重新覆盖或修复。检验合格,发包人承担由此发生的全部追加合同价款,赔偿承包人损失,并相应顺延工期。检验不合格,承包人承担发生的全部费用,工期不予顺延。由于本工程经重新检验不合格。故施工单位提出的工期索赔和费用索赔均不成立。(注:《建设工程施工合同(示范文本)》(GF-1999-0201)已更新为2013最新版)本案例第4问主要考查竣工结算动态调值公式的应用。动态调值公式按下式计算: 式中:P——工程实际结算款;P——调值前工程进度款;a0——不调值部分比重;a1、a2、a3、a4、…——调值因素比重,以a1+a2+a3+a4+a5…=1;A0、B0、C0、D0、E0、…——基期价格指数或价格;A、B、C、D、E、…——现行价格指数或价格。本工程合同价款为3540万元,施工承包合同中约定可针对人工费、材料费价格变化对竣工结算价进行调整。可调整各部分费用占总价款的百分比,基准期、竣工当期价格指数见下表:

猜你喜欢

发表评论
更多 网友评论0 条评论)
暂无评论

Copyright © 2012-2014 恰考网 Inc. 保留所有权利。 Powered by tikuer.com

页面耗时0.0411秒, 内存占用1.05 MB, Cache:redis,访问数据库18次