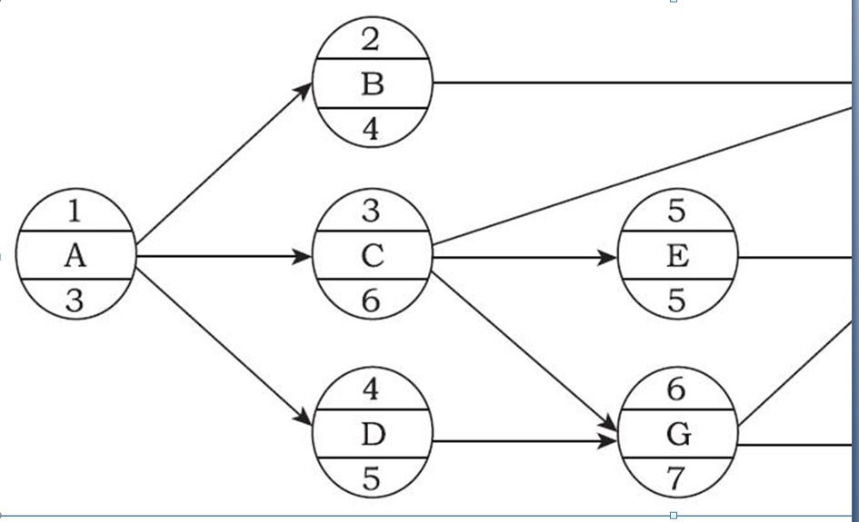
某工程单代号网络计划如下图所示,节点中下方数字为该工作的持续时间,其中的关键工作有( )。 A.工作A B.工作B C.工作C ...

作者: rantiku 人气: - 评论: 0
问题 某工程单代号网络计划如下图所示,节点中下方数字为该工作的持续时间,其中的关键工作有( )。 A.工作
选项 A B.工作B C.工作C D.工作D E.工作E
答案 AC
解析 本题考查的是单代号网络计划时间参数的计算。单代号网络计划可以利用相邻两项工作之间的时间间隔来判定关键线路。即从网络计划的终点节点开始,逆着箭线方向依次找出相邻两项工作之间的时间间隔为零的线路就是关键线路。

猜你喜欢

发表评论
更多 网友评论0 条评论)
暂无评论

访问排行

Copyright © 2012-2014 恰考网 Inc. 保留所有权利。 Powered by tikuer.com

页面耗时0.0429秒, 内存占用1.03 MB, Cache:redis,访问数据库20次