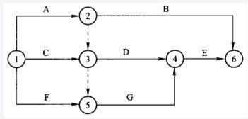
下图为一个双代号网络图,其中互为平行的工作有( ) A.工作A和工作C B.工作A和工作B C.工作B和工作E D.工作C和工作D E...

作者: rantiku 人气: - 评论: 0
问题 下图为一个双代号网络图,其中互为平行的工作有( )
选项 A.工作A和工作C B.工作A和工作B C.工作B和工作E D.工作C和工作D E.工作C和工作F
答案 AE
解析

猜你喜欢

发表评论
更多 网友评论0 条评论)
暂无评论

访问排行

Copyright © 2012-2014 恰考网 Inc. 保留所有权利。 Powered by tikuer.com

页面耗时0.0384秒, 内存占用1.03 MB, Cache:redis,访问数据库20次