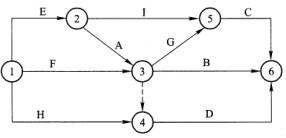
下列双代号网络图中,工作A的紧后工作有()。A:工作IB:工作BC:工作CD:工作DE:工作G

作者: rantiku 人气: - 评论: 0
问题 下列双代号网络图中,工作A的紧后工作有()。
选项 A:工作I B:工作B C:工作C D:工作D E:工作G
答案 BDE
解析

猜你喜欢

发表评论
更多 网友评论0 条评论)
暂无评论

访问排行

Copyright © 2012-2014 恰考网 Inc. 保留所有权利。 Powered by tikuer.com

页面耗时0.0322秒, 内存占用1.03 MB, Cache:redis,访问数据库18次