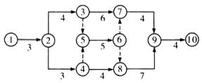
某建设工程施工进度计划如下图所示(时间单位:天),则该计划的计算工期是()天。A:20B:21C:23D:25

作者: rantiku 人气: - 评论: 0
问题 某建设工程施工进度计划如下图所示(时间单位:天),则该计划的计算工期是()天。
选项 A:20 B:21 C:23 D:25
答案 C
解析 计算工期,根据网络计划时间参数计算出来的工期,用Tc表示;计算工期等于以网络计划的终点节点为箭头节点的各个工作的最早完成时间的最大值。当网络计划终点节点的编号为n时,计算工期:Tc=max{EFi-n);当无要求工期的限制时,取计划工期等于计算工期,即Tp=Tc。各个工作的最早完成时间的最大值为23,线路为①—②—③—⑤—⑥—⑧—⑨—⑩。

猜你喜欢

发表评论
更多 网友评论0 条评论)
暂无评论

访问排行

Copyright © 2012-2014 恰考网 Inc. 保留所有权利。 Powered by tikuer.com

页面耗时0.0361秒, 内存占用1.03 MB, Cache:redis,访问数据库20次