背景 某泵站工程施工招标文件按《水利水电工程标准施工招标文件》(2009年版)编制。招标及合同管理过程中发生如下事件:事件一:招标文件合同条款约定的价...

作者: rantiku 人气: - 评论: 0
问题 背景 某泵站工程施工招标文件按《水利水电工程标准施工招标文件》(2009年版)编制。招标及合同管理过程中发生如下事件:事件一:招标文件合同条款约定的价格调整计算公式如下:△P=P0*(M+N*A/A0-1),式中M取0.4,N取0.6。事件二:某投标人投标文件所载工期超过招标文件规定的工期,评标委员会向其发出了要求澄清的通知,该投标人按时递交了答复,修改了工期计划,满足了要求。评标委员会认可工期修改。事件三:招标人在合同谈判时,要求施工单位提高混凝土强度等级,但不调整单价,否则不签合同。事件四:合同约定,发包人的义务和责任有:①提供施工用地;②执行监理单位指示;③保证程施工人员安全;④避免施工对公众利益的损害;⑤提供测量基准。承包人的义务和责任有:①垫资100万元;②为监理人提供工作和生活条件;③组织工程验收;④提交施工组织设计;⑤为其他人提供施工方便。事件五:合同部分条款如下:(1)计划施工工期3个月,自合同签订次月起算。签约合同工程量及单价如下表: (2)合同签订当月生效,发包人向承包人一次性支付合同总价的10%作为工程预付款,施工期最后2个月等额扣回。(3)工程质量保证金总额为签约合同总价的5%,在施工期内,按每月工程进度款5%的比例扣留。工程质量保修期满后退还,保修期1年。 问题: 1.指出事件一中P、P0、M、N、A、A0所分别代表的含义。 2.根据水利工程招标投标有关规定,事件二、事件三的处理方式或要求是否合理?逐一说明理由。 3.根据《水利水电工程标准施工招标文件》(2009年版),分别指出事件四中有关发包人和承包人的义务和责任中的不妥之处。 4.按事件五所给的条件,签约合同金额为多少?发包人应支付的工程预付款为多少?应扣留的工程质量保证金总额为多少?
选项
答案
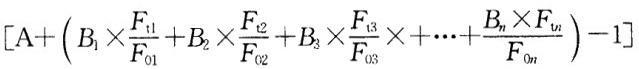
解析 1.△P代表需调整的价格差额;P0代表约定的付款证书中承包人应得到的已完成工程量的金额;A0代表可调因子基准日期价格指数;A代表可调因子现行价格指数;M代表不可调因子的权重;N代表可调因子的权重。 2.事件二的处理方式不合理。评标委员会不应向投标人发出要求澄清的通知,也不能认可工期修改;工期超期属于重大偏差,不能通过投标文件澄清使其满足招标文件要求。事件三的处理方式不合理。施工单位提高混凝土强度等级,但不调整单价,属于变相压低报价;如确需提高混凝土强度等级,双方应协商调整相应单价,不能强迫中标人不调整单价而签订合同。 3.事件四中发包人的义务和责任中不妥之处有:①执行监理单位指示;②保证工程施工人员安全;③避免施工对公众利益的损害。承包人的义务和责任中不妥之处有:①垫资100万元;②为监理人提供工作和生活条件;③组织工程验收。 4.合同金额为10*10+0.8*400+0.2*200+2*40=540(万元);发包人应支付的工程预付款为540*10%=54(万元);应扣留的质量保证金总额为540*5%=27(万元)。 本案例第1问主要考查采用价格指数调整价格差额。因人工、材料和设备等价格波动影响合同价格时,根据投标函附录中的价格指数和权重表约定的数据,按以下公式计算差额并调整合同价格:△P=P0△P——需调整的价格差额;P0——付款证书中承包人应得到的已完成工程量的金额。此项金额应不包括价格调整、不计质量保证金的扣留和支付、预付款的支付和扣回。变更及其他金额已按现行价格计价的,也不计在内;A——定值权重(即不调部分的权重);B1,B2,B3,…,Bn:——各可调因子的变值权重(即可调部分的权重)为各可调因子在投标函投标总报价中所占的比例;Ft1,Ft2,Ft3,…,Ftn——各可调因子的现行价格指数,指付款证书相关周期最后一天的前42天的各可调因子的价格指数;F01,F02,F03,…,F0n——各可调因子的基本价格指数,指基准日期的各可调因子的价格指数。 本案例第2问主要考查投标文件澄清规定。《招标投标法实施条例》第五十二条对投标文件澄清做出如下规定:①投标文件中有含义不明确的内容、明显文字或者计算错误,评标委员会认为需要投标人作出必要澄清、说明的,应当书面通知该投标人。投标人的澄清、说明应当采用书面形式,并不得超出投标文件的范围或者改变投标文件的实质性内容。②评标委员会不得暗示或者诱导投标人作出澄清、说明,不得接受投标人主动提出的澄清、说明。《招标投标法实施条例》第五十七条对招标人与中标人签订合同做出如下规定:招标人和中标人应当依照招标投标法和本条例的规定签订书面合同,合同的标的、价款、质量、履行期限等主要条款应当与招标文件和中标人的投标文件的内容一致。招标人和中标人不得再行订立背离合同实质性内容的其他协议。 本案例第3问主要考查发包人与承包人的责任与义务。《水利水电工程标准施工招标文件》(2009年版)将发包人和承包人的义务和责任进行了合理划分。发包人的义务和责任:①遵守法律;②发出开工通知;③提供施工场地;④协助承包人办理证件和批件;⑤组织设计交底;⑥支付合同价款;⑦组织法人验收;⑧专用合同条款约定的其他义务和责任。承包人的基本义务:①遵守法律;②依法纳税;③完成各项承包工作;④对施工作业和施工方法的完备性负责;⑤保证工程施工和人员的安全;⑥负责施工场地及其周边环境与生态的保护工作;⑦避免施工对公众与他人的利益造成损害;⑧为他人提供方便;⑨工程的维护和照管。 本案例第4问主要考查合同结算。根据合同条款、签约合同工程量及单价表,可知签约合同金额为10*10+0.8*400+0.2*200+2*40=540(万元);工程预付款为合同总价的10%,则工程预付款为540*10%=54(万元);工程质量保证金总额为签约合同总价的5%,则工程质量保证金总额为540*5%=27(万元)

猜你喜欢

发表评论
更多 网友评论0 条评论)
暂无评论

访问排行

Copyright © 2012-2014 恰考网 Inc. 保留所有权利。 Powered by tikuer.com

页面耗时0.0514秒, 内存占用1.05 MB, Cache:redis,访问数据库20次