【案例三】 背景资料:某工程项目,发包人与承包人依据《水利水电工程标准施工合同条件》(2009)签 订了施工承包合同,合同价格9000 万元。 ...

作者: rantiku 人气: - 评论: 0
问题 【案例三】 背景资料:某工程项目,发包人与承包人依据《水利水电工程标准施工合同条件》(2009)签 订了施工承包合同,合同价格9000 万元。 合同规定: (1)工程预付款为合同价的10%,工程开工前由发包人一次付清; (2)保留金从第一个月开始,在给承包人的月进度付款中按10%的比例扣留(计算额度不包括 预付款和价格调整金额),总额达到合同总价的5%为止; (3)物价调整采用调价公式法; (4)工程预付款扣回采用公式法,其中F1=20%,F2=90%; (5)材料预付款按发票值的90%支付,从付款的下个月开始扣还,6 个月平均扣完; (6)月支付的最低限额为100 万元。 工程进展到某月底的情况是:到上月底为止,累计完成合同金额3900 万元,已扣回工程预付款 累计300 万元,已扣留保留金累计390 万元; 该月完成工程量价款,按工程量清单中单价计,金额为600 万元; 该月承包人购材料发票值为30 万元; 该月完成工程变更金额为20 万元(采用工程量清单中与此工程变更相同项目的单价计算的); 该月各参加调价的因素,除人工费的价格指数增长了20%外,其余的都未发生变化,人工费占 调价部分的40%,定值权重为0.2; 该月完成计日工费5 万元(按计日工表单价结算);从开工到本月初未支付任何材料预付款。 问题: (1)本月承包人应得的工程款为多少? (2)本月应扣留的保留金和预付款是多少? (3)本月监理机构是否应签发支付证书?
选项
答案
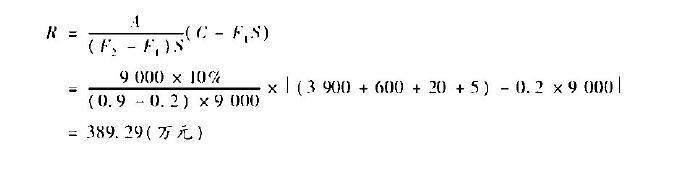
解析 (1)本月承包人应得的工程款(692 万元)。 ①月完成工程量价款:600 万元; ②材料预付款:30x90%=27(万元); ③工程变更费:20 万元; ④计日工费:5 万元; ⑤价格调整: (600+20+5)x(0.2+0.4x0.8x1.2+0.6x0.8x1-1)=40(万元) (2)本月应扣金额(149.29 万元)。 ①扣留保留金:(600+20+5)x10%=62.5(万元); 保留金总额:9000x5%=450(万元),已累计扣留390 万元,本月应扣450-390=60(万元)。 ②扣工程预付款。 累计扣工程预付款为: 本月应扣工程预付款:389.29-300=89.29(万元)。 (3)本月应支付的工程款。 692-149.29=542.71(万元)>100 万元(月支付最低限额) 本月监理机构应签发支付证书,签发金额为542.71 万元。

猜你喜欢

发表评论
更多 网友评论0 条评论)
暂无评论
错误啦!

错误信息

  • 消息: [程序异常] : MISCONF Redis is configured to save RDB snapshots, but it's currently unable to persist to disk. Commands that may modify the data set are disabled, because this instance is configured to report errors during writes if RDB snapshotting fails (stop-writes-on-bgsave-error option). Please check the Redis logs for details about the RDB error.
  • 文件: /twcms/kongphp/cache/cache_redis.class.php
  • 位置: 第 85 行
    <?php echo 'KongPHP, Road to Jane.'; ?>