【案例三】 背景资料:某工程项目,发包人与承包人依据《水利水电工程标准施工合同条件》(2009)签 订了施工承包合同,合同价格9000 万元。 ...

作者: rantiku 人气: - 评论: 0
问题 【案例三】 背景资料:某工程项目,发包人与承包人依据《水利水电工程标准施工合同条件》(2009)签 订了施工承包合同,合同价格9000 万元。 合同规定: (1)工程预付款为合同价的10%,工程开工前由发包人一次付清; (2)保留金从第一个月开始,在给承包人的月进度付款中按10%的比例扣留(计算额度不包括 预付款和价格调整金额),总额达到合同总价的5%为止; (3)物价调整采用调价公式法; (4)工程预付款扣回采用公式法,其中F1=20%,F2=90%; (5)材料预付款按发票值的90%支付,从付款的下个月开始扣还,6 个月平均扣完; (6)月支付的最低限额为100 万元。 工程进展到某月底的情况是:到上月底为止,累计完成合同金额3900 万元,已扣回工程预付款 累计300 万元,已扣留保留金累计390 万元; 该月完成工程量价款,按工程量清单中单价计,金额为600 万元; 该月承包人购材料发票值为30 万元; 该月完成工程变更金额为20 万元(采用工程量清单中与此工程变更相同项目的单价计算的); 该月各参加调价的因素,除人工费的价格指数增长了20%外,其余的都未发生变化,人工费占 调价部分的40%,定值权重为0.2; 该月完成计日工费5 万元(按计日工表单价结算);从开工到本月初未支付任何材料预付款。 问题: (1)本月承包人应得的工程款为多少? (2)本月应扣留的保留金和预付款是多少? (3)本月监理机构是否应签发支付证书?
选项
答案
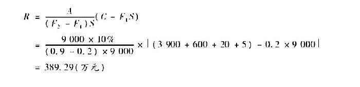
解析 (1)本月承包人应得的工程款(692 万元)。 ①月完成工程量价款:600 万元; ②材料预付款:30x90%=27(万元); ③工程变更费:20 万元; ④计日工费:5 万元; ⑤价格调整: (600+20+5)x(0.2+0.4x0.8x1.2+0.6x0.8x1-1)=40(万元) (2)本月应扣金额(149.29 万元)。 ①扣留保留金:(600+20+5)x10%=62.5(万元); 保留金总额:9000x5%=450(万元),已累计扣留390 万元,本月应扣450-390=60(万元)。 ②扣工程预付款。 累计扣工程预付款为: 本月应扣工程预付款:389.29-300=89.29(万元)。 (3)本月应支付的工程款。 692-149.29=542.71(万元)>100 万元(月支付最低限额) 本月监理机构应签发支付证书,签发金额为542.71 万元。

猜你喜欢

发表评论
更多 网友评论0 条评论)
暂无评论

访问排行

Copyright © 2012-2014 恰考网 Inc. 保留所有权利。 Powered by tikuer.com

页面耗时0.0613秒, 内存占用1.03 MB, Cache:redis,访问数据库13次