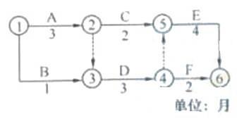
某市政工程的网络计划图如下,其合理的合同工期应是()个月。 A、 6 B、 8 C、 9 D、 10

作者: rantiku 人气: - 评论: 0
问题 某市政工程的网络计划图如下,其合理的合同工期应是()个月。
选项 A、 6 B、 8 C、 9 D、 10
答案 D
解析 【考点】市政公用工程横道图和网络计划图的编制 对于本工程网络图,线路分别有:1―2―5―6;1―2―3―4―5―6;1―2―3―4―6;1―3―4―5―6;1―3―4―6。每条线路上工作的持续时间分别为:9、10、8、8、6。1―2―3―4―5―6持续时间最长,所以为关键线路。根据线路中最长的持续时间确定计算工期为10个月。

猜你喜欢

发表评论
更多 网友评论0 条评论)
暂无评论

访问排行

Copyright © 2012-2014 恰考网 Inc. 保留所有权利。 Powered by tikuer.com

页面耗时0.0648秒, 内存占用1.03 MB, Cache:redis,访问数据库18次