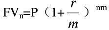
若本金为P,年利率为r,每年的计息次数为m,则n年末该投资的期值计算公式为( )。A、 B、 C、 D、

作者: tihaiku 人气: - 评论: 0
问题 若本金为P,年利率为r,每年的计息次数为m,则n年末该投资的期值计算公式为( )。
A、 B、 C、 D、
选项
答案 C
解析 该题考察按复利计算终值。

相关内容:本金,年利率,次数,投资,期值,公式

猜你喜欢

发表评论
更多 网友评论0 条评论)
暂无评论

访问排行

Copyright © 2012-2014 恰考网 Inc. 保留所有权利。 Powered by tikuer.com

页面耗时0.0273秒, 内存占用1.05 MB, Cache:redis,访问数据库19次