某机构投资者计划进行为期2年的投资,预计第2年年末收回的现金流为121万元.如果按复利每年计息一次,年利率10%,则第2年年末收回的现金流现值为( )万...

作者: tihaiku 人气: - 评论: 0
问题 某机构投资者计划进行为期2年的投资,预计第2年年末收回的现金流为121万元.如果按复利每年计息一次,年利率10%,则第2年年末收回的现金流现值为( )万元。
选项 A、100 B、105 C、200 D、210
答案 A
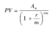
解析 现值是指未来某一时点上的一定量现金折合到现在的价值,俗称“本金’。连续复利下现值的计算公式: 式中An表示第n年末的现金流量,m是年计息次数,r是年贴现率.所以,第2年年末收回的现:1211(1+10%)2=100(万元)

相关内容:机构,投资者,计划,为期,投资,现金流,121万元,复利,年利率,则第,现值

猜你喜欢

发表评论
更多 网友评论0 条评论)
暂无评论

访问排行

Copyright © 2012-2014 恰考网 Inc. 保留所有权利。 Powered by tikuer.com

页面耗时0.0378秒, 内存占用1.04 MB, Cache:redis,访问数据库18次