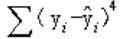
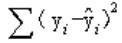
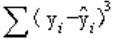
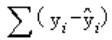
以y表示实际观测值,表示回归估计值,则普通最小二乘法估计参数的准则是使( )最小。A、 B、 C、 D、

作者: tihaiku 人气: - 评论: 0
问题 以y表示实际观测值,表示回归估计值,则普通最小二乘法估计参数的准则是使( )最小。
A、 B、 C、 D、
选项
答案 B
解析 最小二乘准则认为,应选择: 使得残差平方和最小,即: 达到最小,这就是最小二乘准则(原理)这种估计回归参数的方法称为普通最小二乘法(OLS)。

相关内容:实际,观测,乘法,参数

猜你喜欢

发表评论
更多 网友评论0 条评论)
暂无评论

访问排行

Copyright © 2012-2014 恰考网 Inc. 保留所有权利。 Powered by tikuer.com

页面耗时0.0462秒, 内存占用1.05 MB, Cache:redis,访问数据库20次