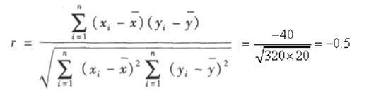
已知变量X和Y的协方差为-40, X的方差为320, Y的方差为20,其相关系数为( )。A、0.5 B、-0.5 C、0.01 D、-0.01

作者: tihaiku 人气: - 评论: 0
问题 已知变量X和Y的协方差为-40, X的方差为320, Y的方差为20,其相关系数为( )。
选项 A、0.5 B、-0.5 C、0.01 D、-0.01
答案 B
解析 随机变量X和Y的相关系数为:

相关内容:变量,方差,相关,系数

猜你喜欢

发表评论
更多 网友评论0 条评论)
暂无评论

访问排行

Copyright © 2012-2014 恰考网 Inc. 保留所有权利。 Powered by tikuer.com

页面耗时0.0400秒, 内存占用1.05 MB, Cache:redis,访问数据库19次