模型中,根据拟合优度R与F统计量的关系可知,当R=0时,有( )。A、F=1 B、F=O C、F=-1 D、F=∞

作者: tihaiku 人气: - 评论: 0
问题 模型中,根据拟合优度R与F统计量的关系可知,当R=0时,有( )。
选项 A、F=1 B、F=O C、F=-1 D、F=∞
答案 B
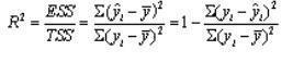
解析 拟合优度R为回归平方和(ESS)占总离差平方和(TSS)的比例,其计算公式为: F统计量的计算公式为: 当R=0时,ESS=O,所以有F=0.

相关内容:模型,根据,优度,计量,关系

猜你喜欢

发表评论
更多 网友评论0 条评论)
暂无评论

访问排行

Copyright © 2012-2014 恰考网 Inc. 保留所有权利。 Powered by tikuer.com

页面耗时0.0284秒, 内存占用1.05 MB, Cache:redis,访问数据库18次