对于半年付息一次的债券来讲,在计算其内在价值时,要对年付息一次公式中的单次支付息票收益进行修改,通常是()。A、将年数乘以2 B、将指定的年票面利率除以...

作者: tihaiku 人气: - 评论: 0
问题 对于半年付息一次的债券来讲,在计算其内在价值时,要对年付息一次公式中的单次支付息票收益进行修改,通常是()。
选项 A、将年数乘以2 B、将指定的年票面利率除以2 C、将剩余年数除以2 D、将指定的年票面利率乘以2
答案 B
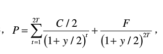
解析 对于半年付息一次的债券来讲 , 其中,P代表债券价格;C代表现金流金额;y代表到期收益率;T代表债券期限(期数);t代表现金流到达时间(期)。

相关内容:半年,债券,内在,价值,公式,支付,息票,收益,年数,票面,利率

猜你喜欢

发表评论
更多 网友评论0 条评论)
暂无评论

访问排行

Copyright © 2012-2014 恰考网 Inc. 保留所有权利。 Powered by tikuer.com

页面耗时0.0294秒, 内存占用1.05 MB, Cache:redis,访问数据库18次