某无息债券的面值为1000元,期限为2年,发行价为880元,到期按面值偿还。该债券的到期收益率为()。A、6% B、6.6% C、12% D、13.2%

作者: tihaiku 人气: - 评论: 0
问题 某无息债券的面值为1000元,期限为2年,发行价为880元,到期按面值偿还。该债券的到期收益率为()。
选项 A、6% B、6.6% C、12% D、13.2%
答案 B
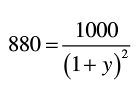
解析 根据到期收益率的计算公式: , 求得到期收益率y=6.6%。

相关内容:债券,面值,1000元,期限,发行价,880元,到期,收益率

猜你喜欢

发表评论
更多 网友评论0 条评论)
暂无评论

访问排行

Copyright © 2012-2014 恰考网 Inc. 保留所有权利。 Powered by tikuer.com

页面耗时0.0306秒, 内存占用1.05 MB, Cache:redis,访问数据库19次