某企业发行2年期债券,每张面值1000元,票面利率10%,每年计息4次,到期一次还本付息,则该债券的终值为()元。A、925.6 B、1000 C、1...

作者: tihaiku 人气: - 评论: 0
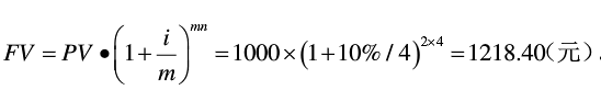
问题 某企业发行2年期债券,每张面值1000元,票面利率10%,每年计息4次,到期一次还本付息,则该债券的终值为()元。
选项 A、925.6 B、1000 C、1218.40 D、1260
答案 C
解析 该债券的终值 。 式中PV为本金(现值),i为每期利率,n为期数,m为年付息次数。

相关内容:企业,年期,债券,面值,1000元,票面,利率,到期

猜你喜欢

发表评论
更多 网友评论0 条评论)
暂无评论

访问排行

Copyright © 2012-2014 恰考网 Inc. 保留所有权利。 Powered by tikuer.com

页面耗时0.0321秒, 内存占用1.05 MB, Cache:redis,访问数据库20次