当公司流动比率小于1时,增加流动资金借款会使当期流动比率()。A、降低 B、提高 C、不变 D、不确定

作者: tihaiku 人气: - 评论: 0
问题 当公司流动比率小于1时,增加流动资金借款会使当期流动比率()。
选项 A、降低 B、提高 C、不变 D、不确定
答案 B
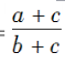
解析 设公司原流动资产为a,流动负债为b,可得流动比率=a/b<1:当增加流动资金借款,将会引起流动负债和流动资产的等额增加(设等额为c),可知当期流动比率= , 显而易见, , 即流动资金借款会使当期流动比率提高。

相关内容:公司,流动,比率,借款

猜你喜欢

发表评论
更多 网友评论0 条评论)
暂无评论

访问排行

Copyright © 2012-2014 恰考网 Inc. 保留所有权利。 Powered by tikuer.com

页面耗时0.0297秒, 内存占用1.05 MB, Cache:redis,访问数据库19次