市场中,某股票的股价为30美元/股,股票年波动率为0.12,无风险年利率为5%,预计50天后股票分红0.8美元/股,则6个月后到期,执行价为31美元的欧式...

作者: tihaiku 人气: - 评论: 0
问题 市场中,某股票的股价为30美元/股,股票年波动率为0.12,无风险年利率为5%,预计50天后股票分红0.8美元/股,则6个月后到期,执行价为31美元的欧式看涨期权的理论价格为()美元。
选项 A、0.5626 B、0.5699 C、0.5711 D、0.5726
答案 D
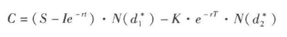
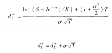
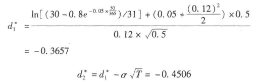
解析 在存续期内支付红利的B-S-M模型为: 其中 已知:S=30,K=31,r=5%,σ=0.12,I=0.8,T=0.5,则 故有 欧式看涨期权的理论价格为

相关内容:市场,股票,股价,美元,波动率,风险,年利率,天后,分红,到期

猜你喜欢

发表评论
更多 网友评论0 条评论)
暂无评论

访问排行

Copyright © 2012-2014 恰考网 Inc. 保留所有权利。 Powered by tikuer.com

页面耗时0.0573秒, 内存占用1.05 MB, Cache:redis,访问数据库19次