当前股票指数为2000点,3个月到期看涨的欧式股指期权的执行价为2200点(每点50元),年波动率为30%,年无风险利率为6%。预期3个月内发生分红的成分...

作者: tihaiku 人气: - 评论: 0
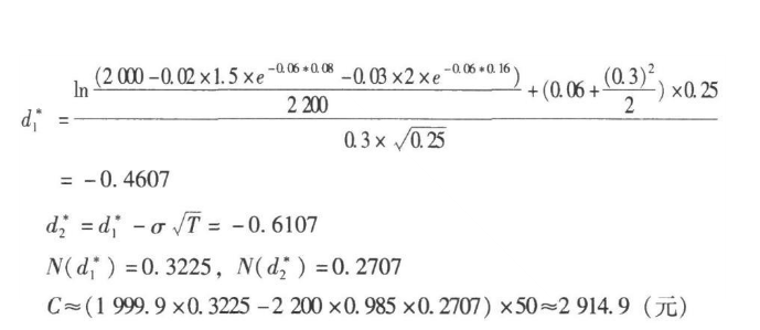
问题 当前股票指数为2000点,3个月到期看涨的欧式股指期权的执行价为2200点(每点50元),年波动率为30%,年无风险利率为6%。预期3个月内发生分红的成分股信息如表所示。 该欧式期权的价值为()元。
选项 A、2911.9 B、2914.9 C、2917.9 D、2918.9
答案 B
解析 根据股指期权定价公式有

相关内容:2000点,3个月,到期,看涨,股指,期权,2200点,每点,波动率,年无,风险,利率,预期,成分

猜你喜欢

发表评论
更多 网友评论0 条评论)
暂无评论

访问排行

Copyright © 2012-2014 恰考网 Inc. 保留所有权利。 Powered by tikuer.com

页面耗时0.0365秒, 内存占用1.05 MB, Cache:redis,访问数据库19次