计算夏普比率需要的基础变量不包括()。A、无风险收益率 B、投资组合的系统风险 C、投资组合平均收益率 D、投资组合的收益率的标准差

作者: tihaiku 人气: - 评论: 0
问题 计算夏普比率需要的基础变量不包括()。
选项 A、无风险收益率 B、投资组合的系统风险 C、投资组合平均收益率 D、投资组合的收益率的标准差
答案 B
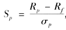
解析 夏普比率是用某一时期内投资组合平均超额收益除以这个时期收益的标准差。用公式可表示为: 其中 Sp—夏普比率; Rp—基金的平均收益率; Rf—平均无风险收益率; 一基金收益率的标准差。夏普比率是针对总波动性权衡后的回报率,即单位总风险下的超额回报率。夏普比率数值越大,代表单位风险超额回报率越高,基金业绩越好。

相关内容:夏普,比率,基础,变量,风险,收益率,投资,组合,系统

猜你喜欢

发表评论
更多 网友评论0 条评论)
暂无评论

访问排行

Copyright © 2012-2014 恰考网 Inc. 保留所有权利。 Powered by tikuer.com

页面耗时0.0380秒, 内存占用1.05 MB, Cache:redis,访问数据库20次