某商务写字楼建筑面积11000m2,可租售面积8000m2,土地使用年限40年,从2008年7月1日起计,土地面积是3000m2 。当地正常月租金为90元...

作者: tihaiku 人气: - 评论: 0
问题

某商务写字楼建筑面积11000m2,可租售面积8000m2,土地使用年限40年,从2008年7月1日起计,土地面积是3000m2 。当地正常月租金为90元/(月·m2),正常出租率90%,大楼正常管理运营每月总费用占当月租金收入的20%。经调查附近40年使用年限同样性质用地的当前地价为8000元/m2,土地报酬率为6%,建筑物的报酬率为10%,业主欲投保,请评估其在201 2年7月1日的保险价值。

估价计算如下:

1.有效毛收入= 11000*90*90%*12=10692000(元)

2.总费用= 8000*90*12*20%=1728000(元)

3.写字楼经营净收益= 10692000 - 1728000=8964000(元)

4.写字楼用地净收益= 3000*8000* =1 641476(元)

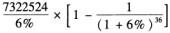
5.建筑物净收益= 8964000 - 1641476=7322524(元)

6.建筑物价值= =107062529(元)

选项
答案
解析

1.有效毛收入计算错,应为:8000*90*90%*12=77 76000(元)

2.总费用计算错,应为:8000*90*90%*12*20%=1555200(元)

3.用地价值未作年限修正,故用地净收益计算错,应为:

8000*3000*[1-(1+6%)-36]/[1 -(1+6%)-40]*6%/[1 -(1+6%)-36]=1595077(元)

4.估价结果计算应使用建筑物报酬率,故建筑物价值计算错误,应为:

(7776000 -1555200 -1595077)/10%*[1-(1+10%)-36]=44760846(元)

相关内容:商务,写字楼,建筑面积,11000m2,面积,8000m2,土地使用,年限,2008年,土地,3000m2,当地,月租金

猜你喜欢

发表评论
更多 网友评论0 条评论)
暂无评论

访问排行

Copyright © 2012-2014 恰考网 Inc. 保留所有权利。 Powered by tikuer.com

页面耗时0.0479秒, 内存占用1.04 MB, Cache:redis,访问数据库17次