某宗房地产,通过预测得到其未来5年的净收益分别为20万元、19万元、25万元、22万元、28万元,从未来第6年到无穷远,每年净收益均为25万元。如果该类房...

作者: tihaiku 人气: - 评论: 0
问题 某宗房地产,通过预测得到其未来5年的净收益分别为20万元、19万元、25万元、22万元、28万元,从未来第6年到无穷远,每年净收益均为25万元。如果该类房地产的报酬率为6%,则该房地产的收益价格为()万元。
选项 A:406.48 B:416.67 C:425.16 D:686.17
答案 A
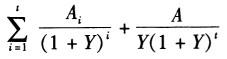
解析 该房地产的收益价格为:V=={20/(1+6%)+19/(1+6%)2+257(1+6%)3+22/(1+6%)4+28/(1+6%)5+25/[6%*(1+6%)5]}万元=406.48万元。

相关内容:某宗,房地产,预测,未来,收益,20万元,19万元,25万元,22万元,28万元,年到

猜你喜欢

发表评论
更多 网友评论0 条评论)
暂无评论

访问排行

Copyright © 2012-2014 恰考网 Inc. 保留所有权利。 Powered by tikuer.com

页面耗时0.0422秒, 内存占用1.03 MB, Cache:redis,访问数据库14次