某商场建成于2007年10月,收益期限从2007年10月到2047年10月,预计未来正常运行年潜在毛收入为120万元,年平均空置率20%,年运营费用50万...

作者: tihaiku 人气: - 评论: 0
问题 某商场建成于2007年10月,收益期限从2007年10月到2047年10月,预计未来正常运行年潜在毛收入为120万元,年平均空置率20%,年运营费用50万元。目前该类物业无风险报酬率为5%,风险报酬率为安全利率的60%,则该商场在2012年10月的价值最接近于()万元。
选项 A:536 B:549 C:557 D:816
答案 A
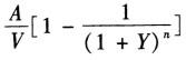
解析 该商场在2012年10月的价值最接近于:V=,A=(120*80%-50)万元=46万元,Y=5%+5%*60%=8%,V=46/8%*[1-1/(1+8%)40-5]=536.11万元。

相关内容:商场,2007年,收益,期限,2047年,未来,运行,潜在,毛收入,120万元,空置率,运营,费用

猜你喜欢

发表评论
更多 网友评论0 条评论)
暂无评论

访问排行

Copyright © 2012-2014 恰考网 Inc. 保留所有权利。 Powered by tikuer.com

页面耗时0.0338秒, 内存占用1.04 MB, Cache:redis,访问数据库17次