某宗房地产的收益期限为35年,通过预测得到其未来3年的净收益分别为18万元、19万元、23万元,从未来第4年起,每年净收益为25万元直到收益期限结束。如果...

作者: tihaiku 人气: - 评论: 0
问题 某宗房地产的收益期限为35年,通过预测得到其未来3年的净收益分别为18万元、19万元、23万元,从未来第4年起,每年净收益为25万元直到收益期限结束。如果该类房地产的报酬率为8%,则该房地产的收益价格最接近()万元。
选项 A:276 B:283 C:284 D:291
答案 A
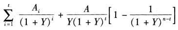
解析 该房地产的收益价格为:V==18/(1+8%)+19/(1+8%)2+23/(1+8%)3+25/[8%*(1+8%)3]*[1-1/(1+8%)35-4]万元=276万元。

相关内容:某宗,房地产,收益,期限,预测,未来,18万元,19万元,23万元,4年起,25万元,直到

猜你喜欢

发表评论
更多 网友评论0 条评论)
暂无评论

访问排行

Copyright © 2012-2014 恰考网 Inc. 保留所有权利。 Powered by tikuer.com

页面耗时0.0272秒, 内存占用1.04 MB, Cache:redis,访问数据库16次