已知某收益性房地产的收益期限为50年,报酬率为8%的价格为4000元/m2。若该房地产的收益期限为40年,报酬率为6%,则其价格最接近于()元/m2。A:...

作者: tihaiku 人气: - 评论: 0
问题 已知某收益性房地产的收益期限为50年,报酬率为8%的价格为4000元/m2。若该房地产的收益期限为40年,报酬率为6%,则其价格最接近于()元/m2
选项 A:3816 B:3899 C:4087 D:4920
答案 D
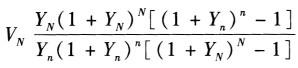
解析 Vn==4000*{8%*(1+8%)50×[(1+6%)40-1]/{6%×(1+6%)40*[(1+8%)50-1]}元/m2=4919.71元/m2

相关内容:收益性,房地产,收益,期限,报酬率,价格,4000元,若该,最接

猜你喜欢

发表评论
更多 网友评论0 条评论)
暂无评论

访问排行

Copyright © 2012-2014 恰考网 Inc. 保留所有权利。 Powered by tikuer.com

页面耗时0.0354秒, 内存占用1.05 MB, Cache:redis,访问数据库20次