某银行存款利息方式采用单利,假设某一年期存款的年利率为6%,为吸引3年期的储户,则其3年期存款的单利年利率应大于()。A:6.37% B:6.12% ...

作者: tihaiku 人气: - 评论: 0
问题 某银行存款利息方式采用单利,假设某一年期存款的年利率为6%,为吸引3年期的储户,则其3年期存款的单利年利率应大于()。
选项 A:6.37% B:6.12% C:6.02% D:6%
答案 A
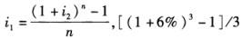
解析 i1==6.37%

相关内容:银行,存款,利息,方式,单利,假设,一年期,年利率,年期,储户,则其

猜你喜欢

发表评论
更多 网友评论0 条评论)
暂无评论

访问排行

Copyright © 2012-2014 恰考网 Inc. 保留所有权利。 Powered by tikuer.com

页面耗时0.0396秒, 内存占用1.05 MB, Cache:redis,访问数据库19次