某宗房地产的土地是通过有偿出让获得使用权的,在价值时点建设用地使用权剩余年限为50年,建筑物剩余经济寿命晚于建设用地使用权剩余年限结束,且出让合同约定建设...

作者: tihaiku 人气: - 评论: 0
问题 某宗房地产的土地是通过有偿出让获得使用权的,在价值时点建设用地使用权剩余年限为50年,建筑物剩余经济寿命晚于建设用地使用权剩余年限结束,且出让合同约定建设用地使用权期间届满需要无偿收回建设用地使用权时,建筑物也无偿收回,预计未来第一年的净收益为50万元,此后每年的净收益会在上一年的基础上增加2%;该类房地产的报酬率为6%,则该宗房地产的收益价值为()万元。
选项 A:833 B:2500 C:1250 D:1067
答案 D
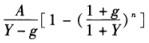
解析 该宗房地产的收益价格V==50/(6%-2%)*{1-[(1+2%)/(1+260)]}6%)]50}=1067万元。

相关内容:某宗,房地产,土地,使用权,价值,时点,建设,用地,剩余,年限,建筑物,经济,寿命,合同,约定

猜你喜欢

发表评论
更多 网友评论0 条评论)
暂无评论

访问排行

Copyright © 2012-2014 恰考网 Inc. 保留所有权利。 Powered by tikuer.com

页面耗时0.0344秒, 内存占用1.04 MB, Cache:redis,访问数据库20次