某宗房地产的报酬率为7%,收益年限为40年条件下的市场价值为5500元/m2;若报酬率为8%,收益年限为30年,则该房地产的市场价值为()元/m2。A:4...

作者: tihaiku 人气: - 评论: 0
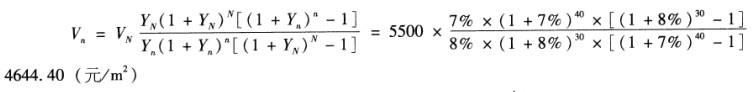
问题 某宗房地产的报酬率为7%,收益年限为40年条件下的市场价值为5500元/m2;若报酬率为8%,收益年限为30年,则该房地产的市场价值为()元/m2
选项 A:4644 B:5192 C:5308 D:5500
答案 A
解析 4644.40(元/m2)

猜你喜欢

发表评论
更多 网友评论0 条评论)
暂无评论

访问排行

Copyright © 2012-2014 恰考网 Inc. 保留所有权利。 Powered by tikuer.com

页面耗时0.0323秒, 内存占用1.04 MB, Cache:redis,访问数据库20次