某房地产开发项目的土地使用期限为50年,项目建设期为5年,自估价时点至建成还需2.5年,建成后的建筑面积为11000m2,年净收益为350万元,若报酬率为...

作者: tihaiku 人气: - 评论: 0
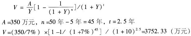
问题 某房地产开发项目的土地使用期限为50年,项目建设期为5年,自估价时点至建成还需2.5年,建成后的建筑面积为11000m2,年净收益为350万元,若报酬率为7%,折现率为10%,建筑物经济寿命与土地使用期限同时结束,则建成后的房地产于估价时点的价值为()万元。
选项 A:3752 B:3806 C:4128 D:4830
答案 A
解析

相关内容:房地产,开发,目的,土地使用,期限,项目建设,估价,时点,2.5年,建筑面积,11000m2,年净,收益,350万元,报酬率

猜你喜欢

发表评论
更多 网友评论0 条评论)
暂无评论

访问排行

Copyright © 2012-2014 恰考网 Inc. 保留所有权利。 Powered by tikuer.com

页面耗时0.0549秒, 内存占用1.04 MB, Cache:redis,访问数据库20次