某宗房地产的收益期限为8年,未来第一年的有效毛收入为80万元,运营费用为45万元,此后每年的有效毛收入和运营费用在上年基础上分别递增4%和3%,该房地产的...

作者: tihaiku 人气: - 评论: 0
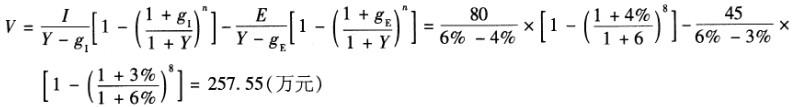
问题 某宗房地产的收益期限为8年,未来第一年的有效毛收入为80万元,运营费用为45万元,此后每年的有效毛收入和运营费用在上年基础上分别递增4%和3%,该房地产的报酬率为6%。该房地产的收益价格为()万元。
选项 A:183.78 B:257.55 C:873.19 D:1427.16
答案 B
解析

相关内容:某宗,房地产,收益,期限,未来,毛收入,80万元,运营,45万元

猜你喜欢

发表评论
更多 网友评论0 条评论)
暂无评论

访问排行

Copyright © 2012-2014 恰考网 Inc. 保留所有权利。 Powered by tikuer.com

页面耗时0.0289秒, 内存占用1.04 MB, Cache:redis,访问数据库17次