某出租的写字楼,使用面积为3000m2,收益期限为45年,空置率为20%,未来3年每平方米使用面积的租金(含物业服务费用)分别为360元、400元、330...

作者: tihaiku 人气: - 评论: 0
问题

某出租的写字楼,使用面积为3000m2,收益期限为45年,空置率为20%,未来3年每平方米使用面积的租金(含物业服务费用)分别为360元、400元、330元,同档次写字楼的年物业服务费用为每平方米使用面积36元,除物业服务费用之外的其他运营费用为租金(不含物业服务费用)的25%。假设该写字楼未来每年的净收益基本上固定不变,报酬率为9%。请利用“未来数据资本化公式法”求取该写字楼的净收益并计算其收益价格。

选项
答案
解析

1.【解】

(1)未来3年的净收益①未来第一年的净收益(360*(1-20%)-[36+(360-36)*25%])*3000=51.3(万元)②未来第二年的净收益{400*(1-20%)-[36+(400-36)*25%]}*3000=57.9(万元)③未来第三年的净收益(330*(1-20%)-[36+(330-36)*25%])*3000=46.35(万元)

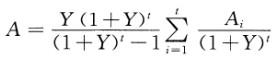
(2)根据公式:,可得:A=9%*(1+9%)3/[(1+9%)3-1]*[51.3/(1+9%)+57.9/(1+9%)2+46.35/(1+9%)3]=0.395*131.588=51.98(万元)

(3)计算收益价格V=A/Y[1-1/(1+Y)n]=51.98/9%[1-1/(1+9%)45=565.60(万元)

解题思路:

(1)由于租金中含物业服务费用,可视为物业服务费用由出租人负担,因此物业服务费用算一项运营费用,在计算净收益时需扣除;运营费用率是运营费用与有效毛收入的比率,以未来第1年净收益为例,列式如下:[360*(1-20%)-(360-36)*(1-20%)*25%-36*(1-20%)]*3000=[(360-36)*(1-20%)*(1-25%)]*3000=58.32(万元)

(2)本题主要考核点是用未来数据资本化法公式法求净收益的运用。

相关内容:写字楼,面积,3000m2,收益,期限,空置率,未来,租金,物业服务,费用,360元,400元,330...

猜你喜欢

发表评论
更多 网友评论0 条评论)
暂无评论

访问排行

Copyright © 2012-2014 恰考网 Inc. 保留所有权利。 Powered by tikuer.com

页面耗时0.0361秒, 内存占用1.05 MB, Cache:redis,访问数据库20次