某商场的建设用地使用期限为40年,从2007年5月1日起计。该商场共2层,每层建筑面积各为2000m2,可出租面积100%。一层于2008年5月1日租出,...

作者: tihaiku 人气: - 评论: 0
问题

某商场的建设用地使用期限为40年,从2007年5月1日起计。该商场共2层,每层建筑面积各为2000m2,可出租面积100%。一层于2008年5月1日租出,租期为5年,可出租面积的正常月租金为180元/m2,且每年不变;二层现暂空置。附近类似商场一、二层可出租面积的正常月租金分别为200元/m2、120元/m2,运营费用率为20%。该类房地产的报酬率为8%。试估价该商场于2011年5月1日带租约出售时的正常总价。

选项
答案
解析

解:

该商场2011年5月1日带租约出售时的正常价格测算如下:

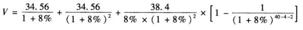
(1)商店一层价格的测算:租赁期限内年净收益=200*180*(1-20%)*12=34.56万元租赁期限外年净收益=200*200*(1-20%)*12=38.4万元

=443.09(万元)

(2)商店二层价格的测算:年净收益=200*120*(1-20%)*12=23.04万元V=A/Y[1-1/(1+Yn)]V=23.04/8%*[1-1/(1+8%)40-4]=269.96万元该商店的正常价格=商店一层的价格+商店二层的价格=443.09+269.96=713.05万元

相关内容:商场,建设,用地,期限,2007年,建筑面积,2000m2,面积,2008年

猜你喜欢

发表评论
更多 网友评论0 条评论)
暂无评论

访问排行

Copyright © 2012-2014 恰考网 Inc. 保留所有权利。 Powered by tikuer.com

页面耗时0.0341秒, 内存占用1.04 MB, Cache:redis,访问数据库19次