2.某厂房的建筑面积为4800m2,建筑结构为钢筋混凝土结构,耐用年限为50年,于5年前建成并投入使用;土地面积为8000m2,于6年前取得土地使用权,土...

作者: tihaiku 人气: - 评论: 0
问题

2.某厂房的建筑面积为4800m2,建筑结构为钢筋混凝土结构,耐用年限为50年,于5年前建成并投入使用;土地面积为8000m2,于6年前取得土地使用权,土地使用年限为50年,届满后土地使用权及其地上建筑物和其他不动产所有权由国家无偿取得。已知该厂房所在位置的工业用地土地使用权出让最高年限的基准地价为450元/m2,目前的工业地价指数为102.10(为定基价格指数,基期为基准地价对应的评估基准日),土地综合状况较基准地价对应的土地综合状况好1.70%。重新建造该厂房的建筑安装工程费为1500元/m2,专业费为建筑安装工程费的6%,管理费用为建筑安装工程费与专业费之和的3%,销售费用为重新购建价格的2%,年利息率为6%,建设期为1年,建筑安装工程费、专业费、管理费用、销售费用可视为均匀投入,销售税费为重新购建价格的6%,建筑物的投资利润率为15%,该厂房的部分门窗、地面等有损坏,修复费用为5万元;其内没有行车,出租率为80%,月租金为15元/m2;如果目前单独增加行车,需要66万元,而如果重置该厂房随同增加行车,仅需要50万元;市场上类似有行车厂房的出租率为85%,正常月租金为16元/m2。当地该类房地产的报酬率为7.50%,土地报酬率为6.50%,建筑物残值率为0。请计算该房地产目前的积算价值。(12分)

选项
答案
解析

解:成本法计算公式为

旧的房地积算价值=土地重新购建价格+建筑物重新购建价格一建筑物折旧

(1)计算土地重新购建价格(2)计算建筑物重新购建价格

建筑物重新购建价格=建设成本+管理费+销售费用+投资利息+销售税费+开发利润

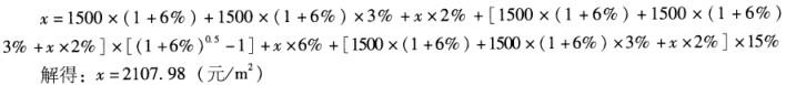
设建筑物重新购建价格为x,则

(3)计算建筑物折旧

对于非住宅建筑物经济寿命晚于土地使用期限而结束,且出让合同约定建设用地使用权期间届满需要无偿收回建设用地使用权时,建筑物也无偿收回的,按建筑物经济寿命减去其晚于土地使用期限的那部分寿命后的寿命计算建筑物折旧。

1)物质折旧=50000+2107.98×4800×5×1/(50—1)=1082480(元)

2)因功能缺乏造成的折旧

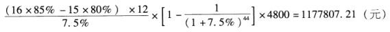
先计算增加行车所能带来的房地产价值增加额

由于修复费用66万元<增加行车所能带来的房地产价值增加额117.78万元,因此该功能缺乏引起的折旧是可修复的,折旧额=66万元。

(4)该房地产积算价值=457.64×8000+2107.98×4800—660000=13119424(元)

相关内容:厂房,建筑面积,4800m2,建筑结构,钢筋混凝土,结构,年限,年前,土地,面积,8000m2,土地使用权

猜你喜欢

发表评论
更多 网友评论0 条评论)
暂无评论

访问排行

Copyright © 2012-2014 恰考网 Inc. 保留所有权利。 Powered by tikuer.com

页面耗时0.0292秒, 内存占用1.05 MB, Cache:redis,访问数据库18次