黄先生采用住房抵押贷款方式购买了一套总价30万元的房子,贷款20万元,年期20年,抵押贷款月还款系数为0.006924。黄先生住了2年后,想将房子租出,于...

作者: tihaiku 人气: - 评论: 0
问题 黄先生采用住房抵押贷款方式购买了一套总价30万元的房子,贷款20万元,年期20年,抵押贷款月还款系数为0.006924。黄先生住了2年后,想将房子租出,于是委托A中介公司的经纪人小张代为招租,在未租出前房屋仍由黄先生管理。 采用等额本息还款法,则其每月还款(  )元。
选项 A、1172 B、2077 C、692 D、1585
答案 A
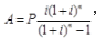
解析 等额本息还款法(等额法),是将消费者所贷款的总额(本金),加上贷款年限内本金产生的总共利息,得出本息总额,然后除以贷款的总计月数,得出消费者贷款年限内每月的还款数额。根据将现值转换为等额年金的公式 其中n为还款期。本案例中,黄先生的购买总价为30万元,贷款额20万元,还款期20年,抵押贷款月还款系数为0.006924,代入公式,可得:200000×0.006924×(1+0.006924)240÷[(1+0.006924)240-1]=1171.52(元)。

相关内容:黄先生,先生,住房,抵押贷款,方式,总价,30万元,房子,贷款,20万元,年期,系数,0.006924

猜你喜欢

发表评论
更多 网友评论0 条评论)
暂无评论

Copyright © 2012-2014 恰考网 Inc. 保留所有权利。 Powered by tikuer.com

页面耗时0.0414秒, 内存占用1.05 MB, Cache:redis,访问数据库20次