李某看中一楼盘,欲购买其中一套总价30万元、面积100m2的住宅。假如你作为该住宅楼盘的销售人员,请回答李某的如下问题: 假定该套住宅可以以2100元的...

作者: tihaiku 人气: - 评论: 0
问题 李某看中一楼盘,欲购买其中一套总价30万元、面积100m2的住宅。假如你作为该住宅楼盘的销售人员,请回答李某的如下问题: 假定该套住宅可以以2100元的月租出租,出租税费约为200元,李某欲仅以全部租金收入来支付银行10年期贷款,贷款年利率同上,则可以选择的贷款成数是(  )。
选项 A、四成 B、五成 C、六成 D、七成
答案 C
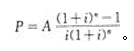
解析 贷款价值比又称贷款与价值比率,是指房地产抵押贷款中贷款金额占抵押房地产价值的比率。将等额年金转换为现值的公式为: 所以,10年所有的租金现值为: (2100-200)×[(1+5%÷12)10×12-1]÷[5%÷12×(1+5%÷12)10×12]=179135(元)。根据题意,可以选择的贷款成数为:179135÷300000=0.6,即六成。

相关内容:李某,楼盘,总价,30万元,面积,住宅,销售,人员,如下,问题,假定,该套,2100元

猜你喜欢

发表评论
更多 网友评论0 条评论)
暂无评论

Copyright © 2012-2014 恰考网 Inc. 保留所有权利。 Powered by tikuer.com

页面耗时0.0345秒, 内存占用1.04 MB, Cache:redis,访问数据库17次